LSTM 网络模型
概述
传统神经网络在处理这一时刻的信息时,结果不会受到过去输入的信息的影响。举一个不恰当的例子,想象一下,我们在阅读文章的时候结合上下文才更能理解文章的含义,所以后来提出了递归神经网络(RNNs),来解决这一问题。
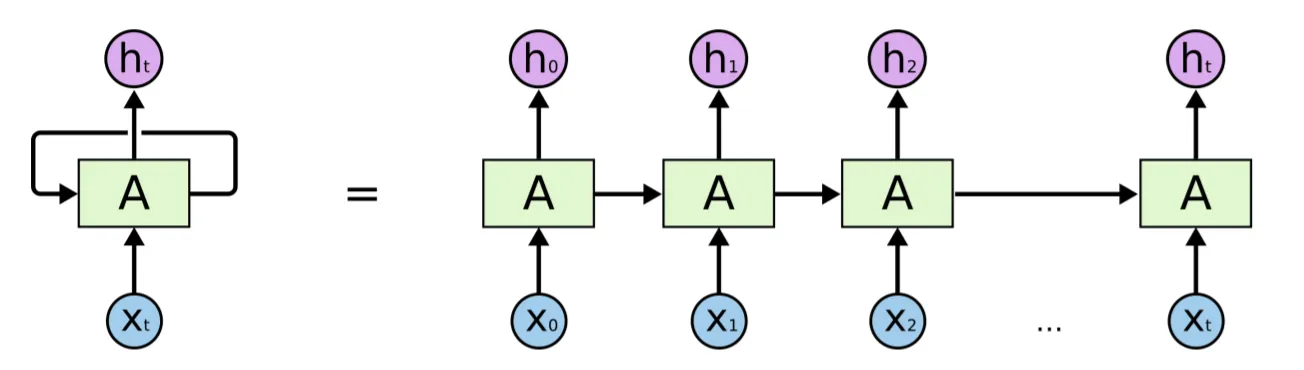
RNNs 的网络结构如下:

将其展开等价于一个将历史信息不断地往后传递,每一时刻的信息都将影响下一次预测结果:

由于 RNNs 具有记忆的特性,对于前后相关联信息的学习任务有较重要的应用,比如:语音识别、语言模型、机器翻译等;
但是随着 RNNs 网络的深入应用,长时依赖问题(Long Term Dependencies problem)被发现了;
长时依赖问题
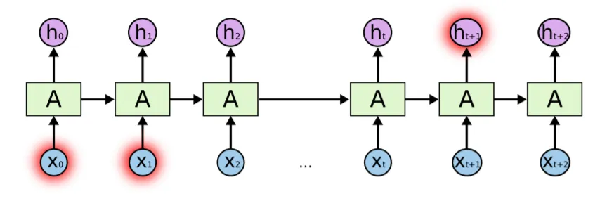
当我们在进行语句最后一个字的预测时:the clouds are in the sky。 RNNs 能够很好地解决这个问题,距离较短的数据对结果的影响还没被冲淡。

但面对间隔比较长的预测问题时, RNNs 就开始变弱了,可以理解为在很久以前的事情到现在已经记不清了,所以无法对现在的状况进行有效的预判;

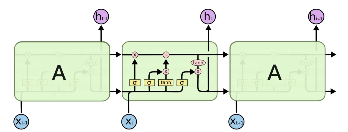
而长短期记忆网络模型(LSTMs)被设计出来,用于解决这个问题。
长短期记忆能够记住较长时刻的信息,而不损失短期信息的记忆,并会过滤过长时刻的记忆。
LSTMs 网络结构

(作用原理还没弄清楚,等我学了更多的神经网络的知识在更新) 参考资料